Öncelikle twitterdaki ankete katılanlara teşekkür etmek istiyorum; açık arayla yemeğe sebze ile başlayalım dendi (https://twitter.com/DoktorBurak/status/1033292595928158208 ) . Genel kanılar her zaman doğruyu yansıtmayabiliyor, ancak sizler kadar bilinçli ve bilgili okurların kararı bakalım bilimsel bir çalışmayla ne kadar örtüşüyor?
Bu çalışmaya sınırda şekeri olan 25 kişi alınmış, ortalama yaş 52, ortalama vücut kitle indeksi 34, ortalama HbA1c değerleri ise %6.0 olarak tespit edilmiş. Bu insanlar eğer bana gelselerdi ben onlara önce diyet yapmalarını ve egzersiz yapmalarını önerirdim. Bu insanlarda kilo fazlalığı nedeniyle, çoğunlukla insülin direnci, yani normalden fazla insülin salgısının olduğunu biliyoruz ve bu durum buzdağının görünmeyen tarafını oluşturuyor; görünen kısmı ise kan şekeri. Bu durum diyet ve egzersizle, bazen de basit birkaç ilaç takviyesiyle tamamen iyileştiği için aşırı önem arz ediyor; yani, (tip2 )şeker hastalığı özellikle başlangıçta yakalanırsa ve gerekli önem verilirse, çoğunlukla tamamen iyileşebiliyor.
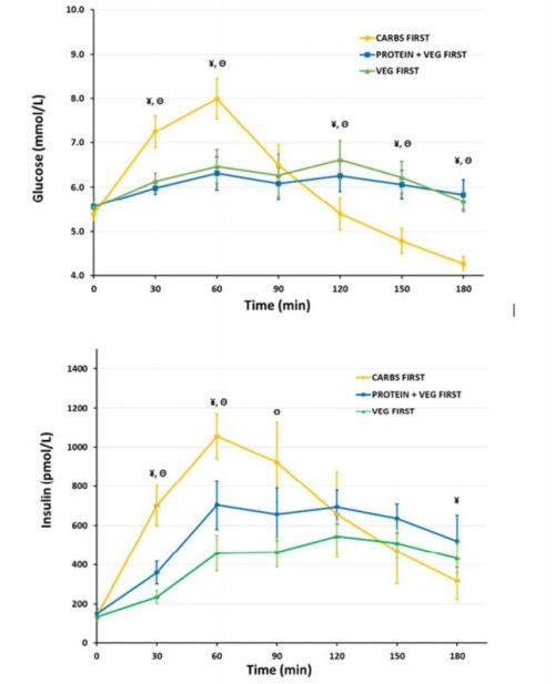
Çalışmaya katılanlara verilen yemeklerin sırası:
- İlk karbohidrat grubu: Kişiler önce ekmek (ciabatta ekmeği)10 dakikada yiyorlar, 10 dakika ara, sonra protein (ızgara derisiz tavuk göğsü) ve sebze (marul, biber, domates, kırmızı lahana, balsamik sirke ve zeytinyağı).
- İlk protein ve sebze grubu: Kişiler ilk önce sebze ve proteini birlikte yiyorlar (10dk), 10 dakika ara veriyorlar ve sonrasında karbohidrat alıyorlar.
- İlk sebze grubu: Kişiler ilk önce sebze yiyorlar, sonra protein ve karbohidratı bir arada yiyorlar.
Yemekten sonra 30, 60 ve 180 dakikalarda kan şekerine ve insüline bakıldığında şu sonuçlar alınıyor. İlk karbohidrat grubunda beklendiği gibi hem kan şekeri, hem de kan insülini hızlı bir şekilde artıyor, ilerleyen saatlerde de kan şekeri diğer gruplara göre daha fazla düşüyor. Bu durum da insülin fazlalılığının yarattığı bir sonuç. Glisemik indeksi yüksek (https://burakuzel-md.com/2010/11/29/glisemik-indeks/) olan karbohidrat sebze ve meyveye göre daha fazla insülin salgılatıyor. İnsülin fazlalılığı uzun dönemde de damarları bozuyor.

İlk protein+sebze grubu, ilk sebze grubuna göre kan şekerinde daha az yükselmeye neden oluyor.
İlk sebze grubunda ise diğer gruplardan farklı olarak insülin salgısı daha yavaş artıyor, ki bu durum da sağlık açısından yararlı bir durum.
Basit bir yemek sıralaması ile kan insülinimizi ve kan şekerimizi daha uygun halde tutabiliriz: önce sebze, sonra protein+karbohidrat.
Alpana P. Shukla, et al. “The impact of food order on postprandial glycemic excursions in prediabetes”. https://doi.org/10.1111/dom.13503

